使用電流輸出 DAC 和 TIA 精準控制 LED 亮度
資料提供者:DigiKey 北美編輯群
2020-01-02
發光二極體 (LED) 因堅固耐用、使用壽命長、效率高、可快速切換和體積小而廣受歡迎。LED 的每瓦流明度高於白熾燈,且效率不受尺寸和形狀影響。儘管 LED 已獲得廣泛的使用和技術支援,但要精準控制亮度仍舊是個難題。
雖然箇中原因有很多且都與每個 LED 波長的物理特性有關,但只要使用正確的元件和設計方法,還是能精準地控制亮度。
本文將簡要探討要達到一致的 LED 亮度時會面臨的難題,然後說明如何使用可編程的 14 位元電流輸出數位類比轉換器 (DAC)、運算放大器以及高精密類比微控制器,以便精準控制 LED 的亮度。本文將以 Analog Devices 的元件為例進行說明。
LED 陣列/應用
LED 半導體是一種電流從陽極流到陰極的發光式光源。半導體電子會重新結合電洞,然後以光子形式釋放能量。電子穿越半導體能隙所需要的能量,會決定 LED 燈的顏色。
LED 的電氣行為與標準二極體類似。如同標準二極體,務必記住不能在順向偏壓模式下過度驅動,否則二極體會過熱,最嚴重時甚至會造成開路。當 LED 處於順向偏壓時,電流會流經元件,並從陽極到陰極產生光線和壓降 (圖 1)。
圖 1:使用 20 mA 順向電流時,多種不同顏色的 LED,代表其具有不同的順向電壓。(圖片來源:DigiKey)
在圖 1 中,LED 的順向電壓隨顏色而異 (R = 紅色;O = 橘色;G = 綠色;Y = 黃色;B = 藍色;W = 白色)。通常,LED 燈由 20 mA 電流源進行激磁,以測量和指定順向電壓值。以電壓源驅動 LED 固然很誘人,但是要精準控制電壓源並不容易,可能會因過度驅動元件而導致過熱和提早故障。
並聯式與串聯式 LED 配置的比較
並聯、串聯以及並/串聯組合,是目前三個最常見的 LED 配置,但在大多數情況下,都會建議使用電壓源和電阻來驅動 LED,以便控制電流大小 (圖 2)。
圖 2:並聯 (A)、串聯 (B) 以及並/串聯組合 (C),是目前常用的三種 LED 驅動配置。(圖片來源:DigiKey)
LED 並聯燈串 (A) 均須具有相同的順向電壓規格,因此 LED 的顏色會相同 (再次參見圖 1)。即使在此配置中,因為順向電壓有製造容差,因此 LED 不會平均共用電流。對於這種並聯配置,可能會有一個或多個 LED 燈消耗較多電流。由於順向電流/發光密度不同 (導致 LED 顯示不一致的因素之一),LED 的亮度也會有差異。
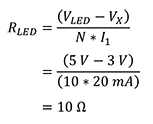
在並聯配置 (A) 中,RLED 值取決於預先確定的電源電壓 (VLED)、LED 的標稱順向電壓,以及並聯 LED 的數量 (每個大約消耗 20 mA)。例如,當有十個白色 LED 並聯 (在 20 mA 電流下,順向電壓大約為 3.0 V) 且 VLED 為 5 V 時,RLED 等於 10 Ω。RLED 為 10 W 這個值,係使用方程式 1 計算而來:
方程式 1
VLED = 電源電壓 (如圖 2)
N = LED 數量 = 10
I1 = 20 m (註:ILED = I1*N)
RLED = LED 偏壓電阻
VX = 標稱 LED 20 mA 壓降
在串聯配置 (B) 中,每個 LED 都接收相同的電流量,但順向電壓不同。在串聯配置下,可能會有多個顏色的 LED。在此結構中,電源電壓等於每個標稱 LED 電壓的總和加上電阻 RLED 的壓降。例如,如果此串聯配置下有十個紅色的 LED (順向電壓大約 1.9 V),且有 20 mA 流經 330 Ω 的電阻,則系統電壓供應值 (VLED) 大約為 25.6 V。在此配置下,若有一個 LED 故障或開路,就會造成整條燈串故障。
LED 並/串聯組合 (C) 能兼顧兩者的優點。在此配置下,串聯燈串的 LED 燈變少。這可降低 VLED 值。此外,並聯燈串中的 LED 也變少,因此能降低電流消耗過多的機率。此配置還有一個優點,就是可編程電流輸出 DAC 可當作經濟實惠的激磁來源,代替傳統的靜態電壓源。
可編程型 LED 控制選項
在圖 2 中,並聯 (A)、串聯 (B) 和並/串聯組合 (C) 配置的 LED 驅動機制,具有串聯電阻 RLED 以及電壓源 VLED。在這三個配置中,降低順向電流 (代表 VLED 降低或 RLED 增加) 會讓 LED 燈變暗。電壓輸出 DAC 可提供可編程電壓給 VLED,但其所需的高電流會是個問題。電壓輸出 DAC 通常無法供應 LED 所需的高電流,因此經常需要使用運算放大器。
可使用手動電位器或是數位電位器 (後者更好) 來取代 RLED,但會有些功率耗散的限制,例如如何在電位器趨近於零歐姆時處理高電流。
若想避免電壓輸出 DAC 及電位器帶來的問題和複雜度,最簡便的設計方法是改用電流輸出 DAC。
電流輸出 DAC 能提供可編程電流給 LED。此 DAC 的關鍵規格是能夠為每個 LED 提供 20 mA 電流,並能以高解析度呈現此電流。在轉阻放大器 (TIA) 的輔助下,電流可編程性可用來調整所需的亮度 (圖 3)。
圖 3:可編程型輸出電流 DAC 可提供直接的順向 LED 電流控制,而 TIA 可提供亮度等級控制。(圖片來源:DigiKey)
在圖 3 中,兩個 LED 燈均會以 20 mA 激磁電流達到順向電壓位準。若想完成圖 3 的 LED 系統,需在 TIA 前端設置光電二極體 (PD),來感測 LED 的亮度。在此系統中,放大器需要低輸入偏壓電流和低輸入偏移電壓,前者是為了避免與光電二極體競爭電流 (IPD),後者則是為了將 PD 的壓降減到最小。
可編程型亮度 LED 控制器的實作
要實作可編程型亮度 LED 控制器系統,需要使用精密類比微控制器 (如 Analog Devices 的 ADuCM320BBCZ),以及同樣來自 Analog Devices 的 AD5770RBCBZ-RL7 電流輸出 DAC 和 ADA4625-1ARDZ-R7 運算放大器。
微控制器會:
- 驅動 14 位元 DAC 輸出電流值
- 接收 TIA 的輸出電壓並將其送至板載的 14 位元類比數位轉換器 (ADC)
- 執行必要的運算達到亮度控制
可編程型 DAC 會針對 LED 提供準確的輸出電流,而配置成 TIA 的運算放大器則會透過光電二極體接收類比 LED 亮度值。接著,TIA 會將輸出電壓 (VOUT) 傳送至微控制器的 ADC 輸入 (圖 4)。
圖 4:此精密系統可針對 LED 提供可編程電流,以達到亮度控制。(圖片來源:DigiKey。係利用 Analog Devices 的光電二極體電路設計精靈線上軟體產生)
電流的大小可透過回授迴路的 TIA 受到系統控制。ADA4625-1 運算放大器具有 15 pA 輸入偏壓電流 (根據規格書),以及 15 mV 偏移電壓,可提供寬廣的 TIA 動態範圍。此動態範圍提供極高的亮度靈活性,可將 LED 從最大亮度變成全暗狀態。
系統設計人員可決定 LED 亮度的變化及範圍。例如,14 位元 DAC 可提供 214 (16,384 個) 區隔。對於這個滿量程輸出為 100 mA 的 DAC,根據以下方程式,最低有效位元 (LSB) 大小為 6.1 mA:
![]()
說明:
IDACxLSB = x 通道的電流 LSB 大小
IDACMAX = 額定最大通道電流
N = DAC 位元數
電源電壓為 5.0 V 時,六通道式 AD5770R 會驅動兩個標稱電流為 20 mA 的串聯式 LED。在此電路中,LED 電壓會各自達到其順向電壓位準。
在圖 4 所示的電路中,每個輸出埠 (IDAC0-IDAC5) 的最大輸出電流可調整至標稱值的 50%。這種靈活性能讓設計人員針對 LED 激磁電流達到更優異的匹配。如此一來也可減少 LSB 電流大小。
圖 4 中也顯示,最大 IDAC2 電流為 55 mA,最大 IDAC5 電流為 45 m (根據規格書)。如果 IDAC2 燈串中的 LED 是紅色 LED,則 IDAC2 引腳的標稱電壓為 1.9 V x 2 (即 3.8 V),DAC 的 LSB 大小為 3.4 mA。
若想進一步提高系統準確度,設計人員可使用外部參考或增添精密電阻,來取代 DAC 的晶片上參考產生器。
最後,AD5770R 具有多工式晶片上診斷功能。因此,設計人員只需使用外部 ADC,便能監測輸出順應電壓、輸出電流以及內部晶粒溫度。
AD5770R 電流輸出 DAC 使用低雜訊的控制式可編程電流源來驅動兩個 LED 燈串。其中,IDAC2 和 IDAC5 的輸出雜訊頻譜密度分別為 19 nA/√Hz 和 6 nA/√Hz。
結論
LED 不僅堅固耐用、使用壽命長、能耗低、體積小,而且能快速切換,比起其他照明技術,具有許多優點。然而,儘管 LED 已獲得廣泛的使用,但要精準和有效地控制輸出亮度仍是一個難題。
如本文所述,使用 ADuCM320BBCZ 精密微控制器、AD5770 14 位元兼具可編程性和高準確度的電流輸出 DAC,以及採用 TIA 配置的 ADA4625-1 JFET 運算放大器,就可精準控制 LED 的亮度。這個組合不僅能幫助設計人員滿足精準控制 LED 亮度的需求,還能以完整的診斷能力,監測所有 LED 驅動器電流,並提供調光控制。
聲明:各作者及/或論壇參與者於本網站所發表之意見、理念和觀點,概不反映 DigiKey 的意見、理念和觀點,亦非 DigiKey 的正式原則。



